Factorise (X2 4y2 9z2)2 16x2y2Factor x^2x2 x2 x − 2 x 2 x 2 Consider the form x2 bxc x 2 b x c Find a pair of integers whose product is c c and whose sum is b b In this case, whose product is −2 2 and whose sum is 1 1 −1,2 1, 2 Write the factored form using these integers (x−1)(x 2) ( x 1) ( xConsider x^ {2}y^ {2}xy22xy as a polynomial over variable x Find one factor of the form x^ {k}m, where x^ {k} divides the monomial with the highest power x^ {2} and m divides the constant factor y^ {2}y2 One such factor is xy1 Factor the polynomial by dividing it by this factor
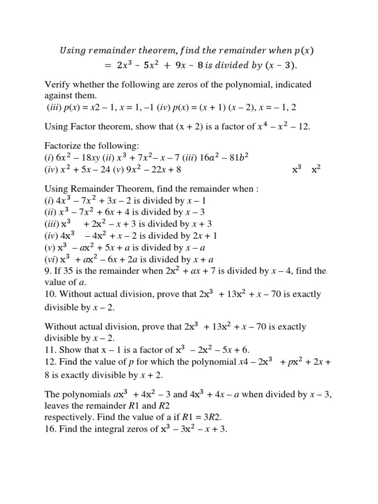
Chapter 2 Math 10 3 Division Mathematics Polynomial
Factorise (x y)^2-4xy-9z^2
Factorise (x y)^2-4xy-9z^2-Sign up for a free account at https//brilliantorg/blackpenredpen/ and try their daily challenges now You can also get a % off discount for their annualFactorcalculator factor x^{2}9x en Related Symbolab blog posts Middle School Math Solutions – Equation Calculator Welcome to our new "Getting Started" math solutions series Over the next few weeks, we'll be



Factorise X Y 2 4xy Z 2 Brainly In
Answer Find the common factors of the given term 2y, 22xy ∵ 2y = 2 × y = (2 × y) and 22xy = 2 × 11x × y = (2 × y) × 11x ∴ the common factor = 2 × y = 2y 219 Views Answer(1) "y2" was replaced by "y^2" 1 more similar replacement(s) Step 1 Equation at the end of step 1 (4 • (x 2)) 3 2 y 2 Step 2 Equation at the end of step 2 2 2 x 2 3 2 y 2 Step 3 Trying to factor as a Difference of Squares 31 Factoring 4x 29y 2Mar 09, 07 · Favorite Answer x^2xy y^2 this equation can't be factor because there is no two numbers whose product and sum is one RealArsenalFan Lv 4 1 decade ago You can use a method called "completing a square" Your signs look a bit strange However, after completing a square you will have an answer that looks like this,
Click here👆to get an answer to your question ️ Factorize x^2 4y^2 9z^2 4xyStack Exchange network consists of 176 Q&A communities including Stack Overflow, the largest, most trusted online community for developers to learn, share their knowledge, and build their careers Visit Stack Exchange6 Answers6 x 2 − y 2 − ( x − y) = ( x − y) ( x y) − ( x − y) = ( x − y) ( x y − 1) This is a far less elegant method than the other answers but I'll keep it up for posterity set it up as a quadratic in x That's done You can observe that − x y = − ( x − y) So both x 2 − y 2 and − x y have x − y as a factor
Algebra Polynomials and Factoring Factor Polynomials Using Special Products 1 Answer Aviv S Mar 5, 18 The factored expression is #(x2y)(x2y)# Explanation You can write the expression as a difference of squares, then use a special factoring form #color(red)a^2color(blue)b^2=(color(red)acolor(blue)b)(colorShare It On Facebook Twitter Email 1 Answer 0 votes answered Aug 6, 18 by Faiz Ahmad (617k points) selected Aug 12, 18 by vikash gupta Best answer On rearranging the terms ← PrevClick here👆to get an answer to your question ️ Factorise 5x^2y 15xy^2



All Questions Solve Friends Fast Brainly In



Factorize Using Identities See How To Solve It At Qanda
Apr 12, 16 · The factors are (xy)(xy) or (xy)^2 We need to factor the trinomial x^22xyy^2 The factors of x^2 = (x)(x) The factors of y^2 = (y)(y) Since the second sign is positive we are adding the factors meaning the signs of the factors need to be the same Since the first sign is negative both signs must be negativeFactor {eq}1(x^2y^2)2xy {/eq} Special Cases for Factoring Factoring can take a bit of practice Part of this is because you're having to think through FOIL (firstoutsideinsidelastJun 19, · Similar Questions algebra factorise 9 a^62a^3b^3b^6 Mathematics Hi Just wandering When I factorise the following 4s16tr It will equal to 2 ( 2s 8t 10 r ) This was the answer in the book However , I managed to factorise it to become 4 ( s4t5r) is this correct ?



49x 2 70xy 25y 2 Solve In Middle Term Factor Brainly In



Whats The Easiest Way To Solve This Question Sat
Aug 13, 18 · Factorise the following (i) 4x^2 9y^2 25z^2 12xy 30yz xz (ii) 25x^2 4y^2 9z^2 – xy 12yz – 30xz asked Oct 30, in Algebra by Darshee ( 491k points) algebraYou can do it with factoring by grouping Starting with for example 18x^2 3yx 10y^2, you pretend the y terms are the numerical portions of the grouping (I rewrote 3xy as 3yx to make this more obvious) So you need 2 terms that multiply together to make 18*10y^2, and add up to 3yObviously not before posting your question


Math Paper Class 9 Factorization Abstract Algebra



Factorise X Y 2 4xy Z 2 Brainly In
Factorisation Class 8 Extra Questions Maths Chapter 14 Extra Questions for Class 8 Maths Chapter 14 Factorisation Factorisation Class 8 Extra Questions Very Short Answer Type Question 1 Find the common factors of the following terms (a) 25x2y, 30xy2 (b) 63m3n, 54mn4 Solution (a) 25x2y, 30xy2 25x2y = 5 × 5 × x × xThe quadratic formula gives two solutions, one when ± is addition and one when it is subtraction y^ {2}2xyx^ {2}=0 y 2 2 x y x 2 = 0 This equation is in standard form ax^ {2}bxc=0 Substitute 1 for a, 2x for b, and x^ {2} for c in the quadratic formula,∵ x4 (y z)4 = x22 (y z)22 = (x2) (y z)2 (x2) (y z)2 Using a2 b2 = (ab)(ab)We can factorise x2 (y z)2 further as x2 (y z)2



Daasm608 3rd06fm Mr Hronek Westlake High Manualzz


Mathematics 9 Flip Ebook Pages 51 100 Anyflip Anyflip
Factorize X2 Y Xy X CBSE CBSE Class 9 Textbook Solutions 50 Important Solutions 1 Question Bank Solutions 8008 Concept Notes & Videos 287 Syllabus Advertisement Remove all ads Factorize X2 Y Xy X Mathematics Factorize x 2 y xy xMar 05, 18 · How do you factor #x^24y^2#?Aug 06, 18 · Factorize x 2y 24xz 4z 2 factorisation of algebraic expressions;



Factorise X Y Square 4xy 9z Square Brainly In



Xy 5x Y 5 See How To Solve It At Qanda
Apr 30, · Factorisation ICSE Class9th Concise Mathematics Selina Solutions Chapter5 We provide step by step Solutions of Exercise / lesson5 Factorisation for ICSE Class9 Concise Selina Mathematics by RK Bansal Our Solutions contain all type Questions with Exe5 A, Exe5 B, Exe5 C, Exe5 D and Exe5 E to develop skill and confidenceGet the free "Factoriser" widget for your website, blog, Wordpress, Blogger, or iGoogle Find more Mathematics widgets in WolframAlphaJan 30, 18 · asked Jan 30, 18 in Class IX Maths by navnit40 (4,939 points) Factorise the following (i) 9x 2 4y 2 16z 2 12xy16yz 24xz (ii) 25x 2 16y 2 4z 2 – 40xy 16yz – xz iii) 16x 2 4y 2 9z 2 – 16xy – 12yz 24xz


03 Algebraic Expressions Factorization Factorization Mathematical Concepts



Example
ICSE Solutions for Selina Concise Chapter 5 Factorisation Class 9 MathsJan 17, 18 · Factor x^2y^2z^2)^24x^2y^2 as the product of four polynomials of degree 1 , each of which has a positive coefficient of x waffles Jan 18, 18 0 users composing answersEquations Tiger Algebra gives you not only the answers, but also the complete step by step method for solving your equations 4(xy)^212(xy)(xy)9(xy)^2 so that you understand better


Polynomial Factorization Polynomial



X2 Hcc Learning Web
Factor 4x^2y^2 4x2 − y2 4 x 2 y 2 Rewrite 4x2 4 x 2 as (2x)2 ( 2 x) 2 (2x)2 − y2 ( 2 x) 2 y 2 Since both terms are perfect squares, factor using the difference of squares formula, a2 −b2 = (ab)(a−b) a 2 b 2 = ( a b) ( a b) where a = 2x a = 2 x and b = y b = yMay 29, 18 · Transcript Example 21 Factorize 4x2 y2 z2 – 4xy – 2yz 4xz 4x2 y2 z2 – 4xy – 2yz 4xz = 22 x2 y2 z2 – 4xy – 2yz 4xz = (2x)2 y2 z2Aug 30, 15 · You don't "factorise" anything There is no such thing as factorisation You factor Now 4 x^2 y^2 = (2x)^2 y^2 Do you recognise that this is a difference of squares of the form a^2 b^2 = (a b)(a b), where a = 2x and b = y?



Ncert Books For Class 9 Maths Chapter 2 Pages 1 23 Flip Pdf Download Fliphtml5


Section 15 4 Answers Derivative Tangent
Dec 12, · Find an answer to your question Factorise(xy)^24xy9z^2 19, यदि 4 मनुष्य या 8 लड़के किसी एक काम को 15 दिनोंमें कर सकते हैं, तो 3 मनुष्य और 4 लड़के उस काम कोकितने दिनों में करेंगे?(1) 8(2) 9(3) 10{4}12Factorise 4x^49y^411x^2y^2 Share with your friends Share 1 Dear Student, Please find below the solution to the asked query We have 4 x 4 9 y 4 11 x 2 y 2 , So ⇒ 4 x 4 2 x 3 yJul 07, 19 · Factorisation Class 8 Extra Questions Maths Chapter 14 Extra Questions for Class 8 Maths Chapter 14 Factorisation Factorisation Class 8 Extra Questions Very Short Answer Type Question 1 Find the common factors of the following terms (a) 25x2y, 30xy2 (b) 63m3n, 54mn4 Solution (a) 25x2y, 30xy2 25x2y = 5 × 5 × x × x



2x 3 Y 3z 5 X 2y Z 4 3x Y 2z 3 Youtube



The Factors Of X 2 4y 2 4y 4x Y 2x 8 Are A X 2y 4 X 2y 2 B X Y 2 X 4y 4 C Youtube
Factorize 9x2 y2 z2 6xy 2yz 6zx hence find its value if x 1 y 2 and z 1 Mathematics TopperLearningcom stnez48bb Starting early can help youMay 29, 18 · Ex 25, 5 Factorise 4x2 9y2 16z2 12xy – 24yz – 16xz 4x2 9y2 16z2 12xy – 24yz – 16xz = 22 x2 32 y2 42 z2 12xy – 24yz – 16xz = (2x)2Complete Factor x^2y^2 Shell, There is a great deal of pattern recognition in factoring, by that I mean looking at an expression and seeing patterns you have seen before and recognizing how to factor them This is true of the "difference of squares" you sent us, x 2 y 2 Once you think you know the factors you can check by multiplication



Maths Exemplar Problems Ix By Sudersana Viswanathan Issuu



1 If 4x2 Y2 9z2 2xy 3yz 6zx 0 Then Prove That 2x Y 3z Evaluate 2 7 2 623 Brainly In
How to factor expressions If you are factoring a quadratic like x^25x4 you want to find two numbers that Add up to 5 Multiply together to get 4 Since 1 and 4 add up to 5 and multiply together to get 4, we can factor it like (x1) (x4)Mar 15, 08 · can you factorise this 9y2(2xy)2 the 2's at the start and end are supposed to be super script (3xy)2(5x3y)2 the two's here are also superscripts 25x2(x2y4z)2 the 2's at the start and end are supposed to be super scriptMar 15, 07 · For your answer (yz) (yz) is not taking out a common factor For y^2z^2 the common factor is 1 So since there really are not a lot of common factors in the equation look to make a trinomial For example, seperate the x^22xyy^2 This results in a perfect square A perfect square a variable another squared



Factorise I 4x 2 9y 2 16 Z 2 12 X Y 24 Y Z 16 X Z Ii 2x 2 Y 2 2sqrt 2 X Y 4sqrt 2 Y Youtube



Factoring Polynomials How To Find Common Factor Video Khan Academy
Find an answer to your question factor of x^2yxyx A rectangular garden is 250m in length and 0 in breadthFind the cost of fencing it at the rate of ₹500 per meterJul 17, 17 · x = y If y is a root, then (x y) is a factor Since it is the only one, then the quadratic is a perfect square (as indicated by the 0 under the square root) x^2 2xy y^2 = (x y)(x y) = (x y)^2"y is a root" simply means that the only way we can get the thing to add up to zero, is to make x = y for example, if x = 3 and y = 3Oct 01, · Check the below NCERT MCQ Questions for Class 8 Maths Chapter 14 Factorisation with Answers Pdf free download MCQ Questions for Class 8 Maths with Answers were prepared based on the latest exam pattern We have provided Factorisation Class 8 Maths MCQs Questions with Answers to help students understand the concept very well



Beginning Algebra 7th Edition Martin Gay Solutions Manual By Cup927 Issuu



Least Common Multiple Of Polynomials Video Khan Academy
Get the answer to Factor x^29 with the Cymath math problem solver a free math equation solver and math solving app for calculus and algebra



Factorize 4x 2 4x Y Y 2 9z 2 Ii 16 X



How Do You Solve This Sat



Factor 9x 2 4y 2 16z 2 12xy 16yz 24xz Brainly In



Rd Sharma Solutions For Class 8 Chapter 7 Factorization Download Free Pdf



Factorize The Following Algebraic Expression 9z 2 X 2 4xy 4y 2



Solutions Manual For College Algebra 7th Edition By Stewart By Kris Issuu



Answers



Simplifying Polynomial Fractions Alliance Gertz



Find The Value Of 4 X 2 Y 2 25 Z 2 4xy 10yz zx When X 4 Y 3



If 4x 2 Y 2 9z 2 2xy 3yz 6zx



Polynomial Review What Is A Polynomial An Algebraic Expression Consisting Of One Or More Summed Terms Each Term Consisting Of A Coefficient And One Or Ppt Download


Chapter 2 Math 10 3 Division Mathematics Polynomial



Assignment 8 5 4 Factoring By Grouping And Special Forms



Example 21 Factorize 4x2 Y2 Z2 4xy 2yz 4xz Examples



X Y Z 1 2x 2y 3z 6x 4y 9z 3 Solve The Folilowing Equations By Gauss Jordan Method X Y Z 1 Youtube



The Solution Of 2x Y Z 1 X 2y 3z 1 3x 2y 4z 5 Is 1 1 2 3 2 1 2 3 3 1 3 2 4 Youtube


8 Maths Worksheets Rectangle Area



Factorise 16x 2 4y 2 9z 2 16xy 12yz 24xz Youtube



File



Solutions Further Study Skills Resources



Factoring Higher Degree Polynomials Common Factor Video Khan Academy



Practice Workbook Print Back



Subtract The Second Expression From First I 4xy 9z 3xy 16z


Chap5



Multiplying Binomials


Chapter 5 Factorisation And Alegrabraic Fractions Fraction Mathematics Factorization



Schaum S Outline College Algebra Pdf Document



Factorise 9z2 X2 4y2 4xy Brainly In



Which Of The Following Expressions Are Polynomials In Case Youtube



Ncert Books For Class 9 Maths Chapter 2 Pages 1 23 Flip Pdf Download Fliphtml5



Triumph Student Workbook Mathematics G09 Part1 Flip Book Pages 1 50 Pubhtml5



Factor The Following Abc Abc See How To Solve It At Qanda



Polynomial Review What Is A Polynomial An Algebraic Expression Consisting Of One Or More Summed Terms Each Term Consisting Of A Coefficient And One Or Ppt Download



Mathematics Mathematics For Economics An



Ncert Books For Class 9 Maths Chapter 1 Pages 1 50 Flip Pdf Download Fliphtml5



X2 4xy 4y X Factorise



Factorize Br X 2 18x 81 Br 4 36x 2


111 36x260xy25y2 W 2a B See How To Solve It At Qanda



Expand The Following 2x Y 3z 2 Brainly In



Factorize 4x 2 4x Y Y 2 9z 2 Ii 16 X 2 2x Y Y 2 Youtube



Factors Of X 2 4y 2 4y 4xy 2x 8 Factorise X 2 4y 2 4y 4xy 2x 8 Youtube



Rd Sharma Solutions For Class 8 Chapter 7 Factorization Download Free Pdf



X 2 Y 2 9z 2 6yz Is Factorized As



Ncert Solutions For Class 9 Maths Chapter 2 Exercise 2 5 Polynomials



Calameo Algebra 2 Mcgraw Hill


Factoring Factorization Numbers



Factorise X Y 2 4xy Z 2 Brainly In



Maths Textbook Pages 51 100 Flip Pdf Download Fliphtml5



Factoring Polynomials How To Find Common Factor Video Khan Academy



36x2 60xy 25y2 See How To Solve It At Qanda



111 36x260xy25y2 W 2a B See How To Solve It At Qanda



Factorise The Following Br I 9x 2 4y 2 16z 2 12xy 16y



Pure Math 10 Workbook



Assignment 9 6 2 1 6 2 2 1 S



If X 2 Y 3 Z 2 Then Find The Value Of 4xy 2 3yz 2 4x 2


Algebraic Formula Triangle Line Geometry



Ex 14 3 5 Vi Factorise And Divide 12xy 9x2 16y2 4xy 3x 4y



Simplify X 2 Y 2 2xy 1 X 2 Y



Solve The Following Moderator Can Give Answer In Messanges Box Wrong Answer Will Reported Solve Brainly In



Factorise 4x2 4y 9z 4xy 12yz 6zx Using Identity A B C 2



Solutions Manual For Beginning Algebra 7th Edition By Martin Gay By Cndps109 Issuu
0 件のコメント:
コメントを投稿